T12_C1_ÔN TẬP CHƯƠNG 1 (BS1)

Chào mừng bạn đến với T12_C1_ÔN TẬP CHƯƠNG I

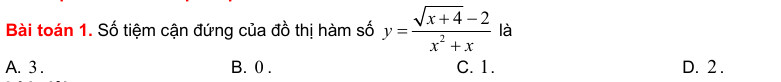
1. 

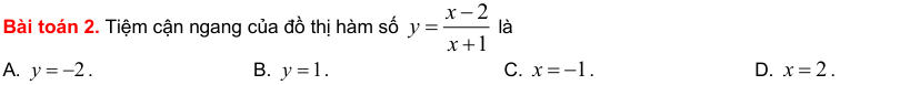
2. 

3. 

4. 

5. 

6. 

7. 

8. 

9. 

10. 

11. 

12. 

13. 

14. 

15. 

16. 

17. 

18. 

19. 

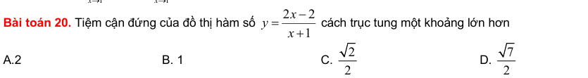
20. 

21. 

22. 

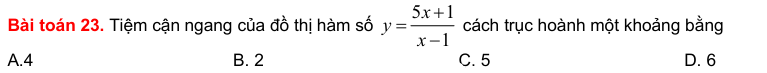
23. 

24. 

25. 

26. 

27. 

28. 

29. 

30. 

31. 

32. 

33. 

34. 

35. 

36. 

Để lại một bình luận

Email của bạn sẽ không được hiển thị công khai. Các trường bắt buộc được đánh dấu *