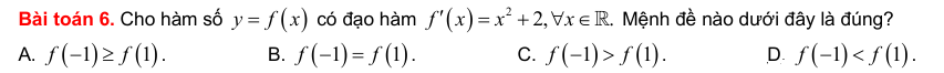
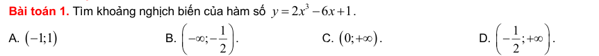
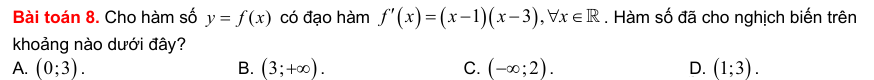
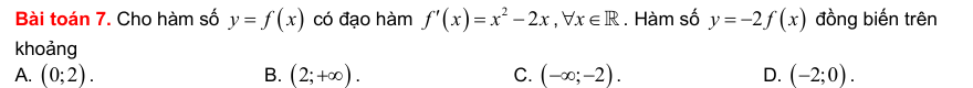
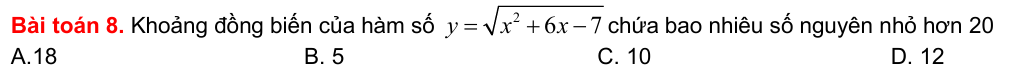
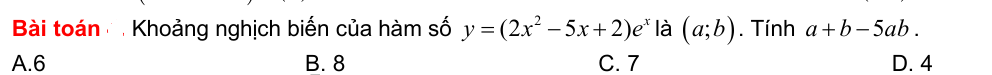
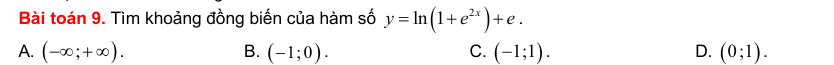
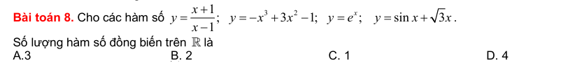
T12_C1_ÔN TẬP CHƯƠNG 1 (BS3) Bởi Quản Trị ViênTrên 6 Tháng 8, 2024Trong T12_CHƯƠNG 1Viết bình luận của bạn tại T12_C1_ÔN TẬP CHƯƠNG 1 (BS3) Chào mừng bạn đến với T12_C1_ÔN TẬP CHƯƠNG I (BS3) Name 1. A B C D None 2. A B C D None 3. A B C D None 4. A B C D None 5. A B C D None 6. A B C D None 7. A B C D None 8. A B C D None 9. A B C D None 10. A B C D None 11. A B C D None 12. A B C D None 13. A B C D None 14. A B C D None 15. A B C D None 16. A B C D None 17. A B C D None 18. A B C D None 19. A B C D None 20. A B C D None 21. A B C D None 22. A B C D None 23. A B C D None 24. A B C D None 25. A B C D None 26. A B C D None 27. A B C D None 28. A B C D None 29. A B C D None 30. A B C D None 31. A B C D None 32. A B C D None 33. A B C D None 34. A B C D None 35. A B C D None 36. A B C D None 37. A B C D None 38. A B C D None 39. A B C D None 40. A B C D None 41. A B C D None 42. A B C D None 43. A B C D None 44. A B C D None 45. A B C D None 46. A B C D None 47. A B C D None 48. A B C D None 49. A B C D None 50. A B C D None 51. A B C D None 52. A B C D None 53. A B C D None 54. A B C D None 55. A B C D None Time's up