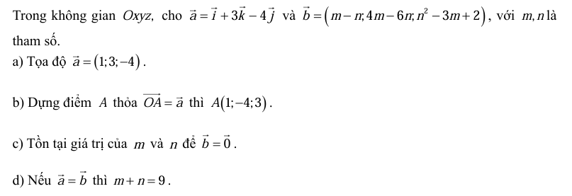
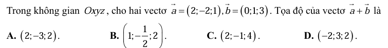
T12_C2B2_TỌA ĐỘ CỦA VECTO TRONG KHÔNG GIAN_BS1 Bởi Quản Trị ViênTrên 22 Tháng 8, 2024Trong T12_CHƯƠNG 2Viết bình luận của bạn tại T12_C2B2_TỌA ĐỘ CỦA VECTO TRONG KHÔNG GIAN_BS1 Chào mừng bạn đến với T12_C2B2_TỌA ĐỘ CỦA VECTO TRONG KHÔNG GIAN Name 1. A B C D None 2. A B C D None 3. A B C D None 4. A B C D None 5. A B C D None 6. A B C D None 7. A B C D None 8. A B C D None 9. A B C D None 10. A B C D None 11. A B C D None 12. A B C D None 13. A B C D None 14. A B C D None 15. A B C D None 16. A B C D None 17. A B C D None 18. A B C D None 19. A B C D None 20. A B C D None 21. A B C D None 22. A B C D None 23. A B C D None 24. A B C D None 25. A B C D None 26. A B C D None 27. A B C D None 28. A B C D None 29. A B C D None 30. A B C D None 31. Trắc nghiệm nhiều đáp án đúng A B C D 32. Trắc nghiệm nhiều đáp án đúng A B C D 33. Trắc nghiệm nhiều đáp án đúng A B C D 34. Trắc nghiệm nhiều đáp án đúng A B C D 35. Trắc nghiệm nhiều đáp án đúng A B C D Time's up