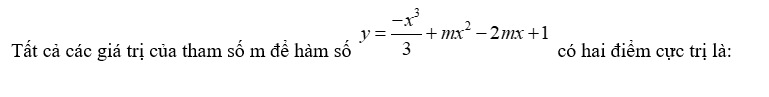
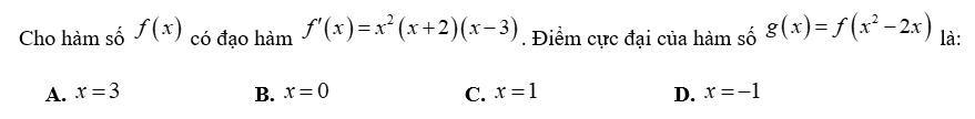
T12_TOÁN TƯ DUY_PHÂN TÍCH SỐ LIỆU_BS6 Bởi Quản Trị ViênTrên 6 Tháng 9, 2024Trong T12_ĐÁNH GIÁ NĂNG LỰCViết bình luận của bạn tại T12_TOÁN TƯ DUY_PHÂN TÍCH SỐ LIỆU_BS6 Chào mừng bạn đến với T12_TOÁN TƯ DUY_PHÂN TÍCH SỐ LIỆU_BS6 Name 1. A B C D None 2. A B C D None 3. A B C D None 4. A B C D None 5. A B C D None 6. A B C D None 7. A B C D None 8. A B C D None 9. A B C D None 10. A B C D None 11. A B C D None 12. A B C D None 13. A B C D None 14. A B C D None 15. A B C D None 16. A B C D None 17. A B C D None 18. A B C D None 19. A B C D None 20. A B C D None 21. A B C D None 22. A B C D None 23. A B C A None 24. Trả lời ngắn. 25. Trả lời ngắn. 26. Trả lời ngắn. 27. Trả lời ngắn. 28. Trả lời ngắn. 29. Trả lời ngắn. 30. Trả lời ngắn. 31. Trả lời ngắn. Time's up