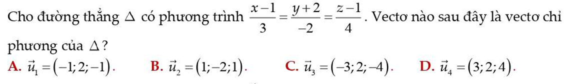
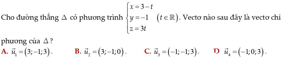
T12_C5B2_PHƯƠNG TRÌNH ĐƯỜNG THẲNG Bởi Quản Trị ViênTrên 11 Tháng 10, 2024Trong T12_CHƯƠNG 5Viết bình luận của bạn tại T12_C5B2_PHƯƠNG TRÌNH ĐƯỜNG THẲNG Chào mừng bạn đến với T12_C5B2_PHƯƠNG TRÌNH ĐƯỜNG THẲNG Name 1. A B C D None 2. A B C D None 3. A B C D None 4. A B C D None 5. A B C D None 6. A B C D None 7. A B C D None 8. A B C D None 9. A B C D None 10. A B C D None 11. A B C D None 12. A B C D None 13. A B C D None 14. Trắc nghiệm nhiều đáp án đúng A B C D 15. Trắc nghiệm nhiều đáp án đúng A B C D 16. Trắc nghiệm nhiều đáp án đúng A B C D 17. Trắc nghiệm nhiều đáp án đúng A B C D 18. Trắc nghiệm nhiều đáp án đúng A B C D 19. Trả lời ngắn. 20. Trả lời ngắn. 21. Trả lời ngắn. 22. Time's up