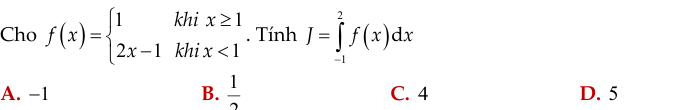
T12_C4B2_TÍCH PHÂN Bởi Quản Trị ViênTrên 25 Tháng 10, 2024Trong T12_CHƯƠNG 4Viết bình luận của bạn tại T12_C4B2_TÍCH PHÂN Chào mừng bạn đến với T12_C4B2_TÍCH PHÂN Name 1. A B C D None 2. A B C D None 3. A B C D None 4. A B C D None 5. A B C D None 6. A B C D None 7. A B C D None 8. A B C D None 9. A B C D None 10. A B C D None 11. A B C D None 12. A B C D None 13. A B C D None 14. A B C D None 15. A B C D None 16. A B C D None 17. A B C D None 18. Trắc nghiệm nhiều đáp án đúng A B C D 19. Trắc nghiệm nhiều đáp án đúng A B C D 20. Trắc nghiệm nhiều đáp án đúng A B C D 21. Trắc nghiệm nhiều đáp án đúng A B C D 22. Trắc nghiệm nhiều đáp án đúng A B C D None 23. Trắc nghiệm nhiều đáp án đúng A B C D 24. Trắc nghiệm nhiều đáp án đúng A B C D 25. Trả lời ngắn. Time's up